 |
Đáp án, lời giải môn Toán kỳ thi THPT Quốc gia 2016 (Ảnh minh họa)
|
Trong buổi sáng 1/7, các thí sinh của kỳ thi THPT Quốc gia 2016 đã làm bài thi môn Toán trong thời gian 180 phút.
Nhằm giúp quý phụ huynh và thí sinh đánh giá chính xác chất lượng bài thi, Báo Giao thông cập nhật đề thi và đáp án môn Toán.
Dưới đây là lời giải đề thi môn Toán THPT Quốc gia 2016 được thực hiện bởi các giáo viên hàng đầu của Hệ thống giáo dục HOCMAI.
 |
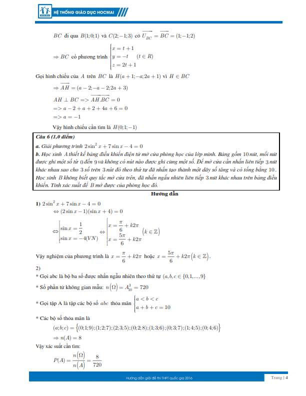
Lời giải đề thi môn Toán thi THPT Quốc gia 2016
|
 |
Lời giải đề thi môn Toán thi THPT Quốc gia 2016
|
 |
Lời giải đề thi môn Toán thi THPT Quốc gia 2016
|
 |
Lời giải đề thi môn Toán thi THPT Quốc gia 2016
|
 |
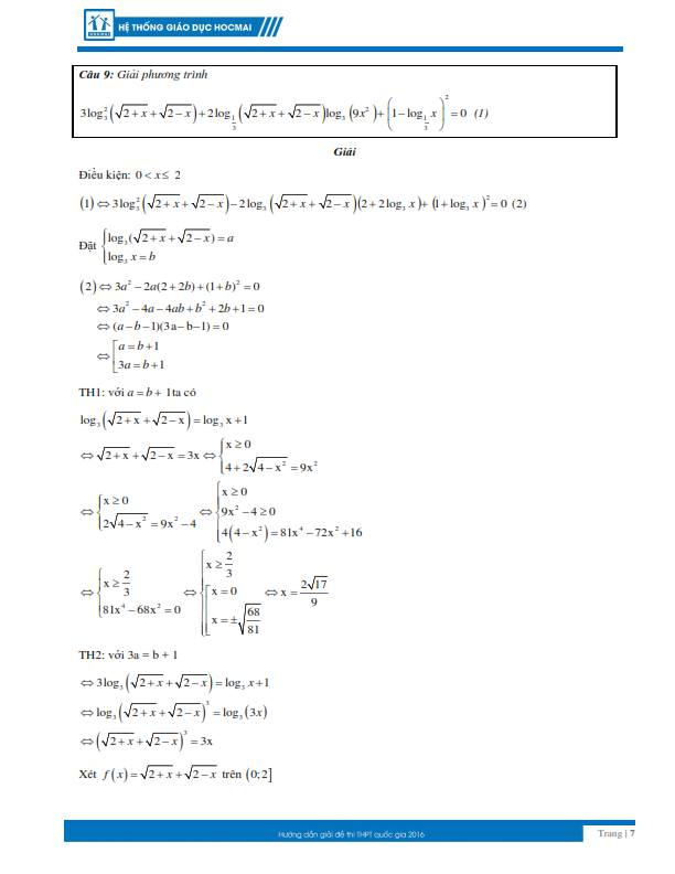
Lời giải đề thi môn Toán thi THPT Quốc gia 2016
|
 |
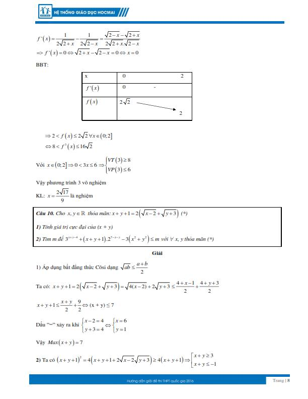
Lời giải đề thi môn Toán thi THPT Quốc gia 2016
|
 |
Lời giải đề thi môn Toán thi THPT Quốc gia 2016
|
 |
Lời giải đề thi môn Toán thi THPT Quốc gia 2016
|
 |
Lời giải đề thi môn Toán thi THPT Quốc gia 2016
|
Download lời giải đề thi môn Toán THPT Quốc gia 2016 tại đây:
3.19M Chiều nay (1/7) , các thí sinh sẽ làm bài thi môn Ngoại ngữ trong thời gian 90 phút.
Chiều nay (1/7) , các thí sinh sẽ làm bài thi môn Ngoại ngữ trong thời gian 90 phút.
>>> Xem thêm video điều không tưởng khi đặt cục băng tuyết vào lò 2000 độ C
Bình luận bài viết (0)
Gửi bình luận